了解更多柴油發電機組必須先學習電子調速器工作原理
電子調速器是一個控制發電機轉速的控制裝置,廣泛應用于包裝、印刷、電子、儀器儀表、醫療器械等行業生產流水線作調速裝置,它是根據接受的電信號,通過控制器和執行器來改變噴油泵供油量的大小,使柴油機能夠以穩定的轉速運行。頂博電力帶領大家學習電子調速器的結構和工作原理。
電子調速器在結構和控制原理上與機械式調速器有很大不同,它是將轉速和(或)負荷的變化以電子信號的形式傳到控制單元,與設定的電壓(電流)信號進行比較后再輸出一個電子信號給執行機構,執行機構動作拉動供油齒條加油或減油,以達到快速調整發動機轉速的目的。電子調速器以電信號控制代替了機械調速器中的旋轉飛重等結構,沒有使用機械機構,動作靈敏,響應速度快,動態與靜態參數精度高;電子調速器無調速器驅動機構,體積小,安裝方便,便于實現自動控制。
常見的電子調速器有單脈沖電子調速器和雙脈沖電子調速器兩種。單脈沖電子調速器是以轉速脈沖信號來調節供油量;雙脈沖電子調速器是將轉速和負荷的兩個單脈沖信號疊加起來調節供油量的。雙脈沖電子調速器能在負荷一有變化而轉速尚未變化之前就開始調整供油量,其調整精度比單脈沖電子調速器高,更能保證供電頻率的穩定。

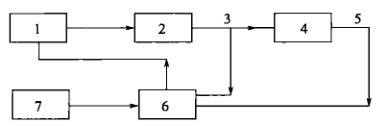
雙脈沖電子調速器的基本組成
1-執行機構 2-柴油機 3-轉速傳感器 4-柴油機負載 5-負荷傳感器 6-速度控制單元 7-轉速設定電位器
雙脈沖電子調速器的基本組成如圖所示。其主要由執行機構 、轉速傳感器、負荷傳感器和速度控制單元等組成。磁電式轉速傳感器用于監測柴油機轉速的變化,并按比例產生交流電壓輸出;負荷傳感器用于檢測柴油機負荷的變化,并按比例轉換成直流電壓輸出;速度控制單元是電子調速器的核心,接受來自轉速傳感器和負荷傳感器的輸出電壓信號,并按比例轉換成直流電壓后與轉速設定電壓進行比較,把比較后的差值作為控制信號送往執行機構,執行機構根據輸人的控制信號以電子(液壓、氣動)方式拉動柴油機的油量控制機構加油或減油。
若柴油機負荷突然增加,負荷傳感器的輸出電壓首先發生變化,此后轉速傳感器的輸出電壓也發生相應變化(數值均下降)。上述兩種降低的脈沖信號在速度控制單元內與設定的轉速電壓比較(傳感器的負值信號數值小于轉速設定電壓的正值信號數值),輸出正值的電壓信號,在執行機構中使輸出軸向加油方向轉動,增加柴油機的循環供油量。
反之,若柴油機的負荷突然降低,也是負荷傳感器的輸出電壓首先發生變化,此后轉速傳感器的輸出電壓也發生相應變化(數值均升高)。上述兩種升高的脈沖信號在速度控制單元內與設定的轉速電壓比較,此時,傳感器的負值信號數值大于轉速設定電壓的正值信號數值,速度控制單元輸出負值的電壓信號,在執行機構中使輸出軸向減油方向轉動,降低柴油發動機的循環供油量。
以上是廣西頂博電力設備制造有限公司分析的柴油發電機組電子調速器工作原理。我公司是柴油發電機組廠家,有著專業工程師提供銷售前的技術咨詢和規劃配套指導,如柴油發電機組選型、配套、機房設計等,如需要咨詢歡迎來電:13667715899
報價:13667715899
推薦文章
- 發電機組全功率段覆蓋:頂博為不同規模企業量身定制的電力解決方案 2025-12-09
- 企業備用電源怎么選?收藏這份5大發電機組場景適配清單,看完就知道怎么選 2025-12-05
- 老板必看!對照這個關鍵點,選對柴油發電機組 2025-12-04
- 康明斯移動拖車式柴油發機組:應急救援與臨時供電的優選解決方案 2025-12-03
- 別再手動巡檢了!康明斯智能化柴油發電機組助你實現遠程管控 2025-12-02
- 客戶證言:在海拔5000米,-40℃的極限環境,我們為何只信賴康明斯? 2025-12-01
- 頂博這臺康明斯發電機,憑什么能用近20年?答案馬上揭曉! 2025-11-28
- 同樣是發電機,為什么康明斯發電機組用了近20年,仍能保存穩定? 2025-11-28
- 就這一臺800kW康明斯發電機組,憑什么撐起整個數據中心?答案太真實了! 2025-11-27
- 15年了,父親修理廠里的那臺康明斯柴油發電機組,聲音還是那么穩 2025-11-26






桂公網安備45010702002247